超冷锂-6费米气体的碰撞冷却
我院量子信息与测控团队罗乐教授实验室在超冷锂-6原子体系中取得重要进展,成功在窄s-波费什巴赫共振区间利用三体复合实现锂-6费米气体的碰撞冷却,并首次观测了这种新颖冷却方法带来的超冷费米气体简并度的提升。
超冷原子和分子的制备是冷原子物理的基础和重要话题。目前,主要的冷却技术包括激光冷却和蒸发冷却。蒸发冷却通过利用热原子和冷原子在势阱中的空间差异,去除高动能的热原子,然后通过热平衡过程来降低温度。然而,是否存在一种可以直接去除高动量原子,而不需要考虑热原子和冷原子空间差异的方法呢?
为了解答这个问题,实验小组展示了在窄费什巴赫共振附近观察到的超冷锂-6费米原子的碰撞冷却现象,并证明这种碰撞冷却可以直接去除高动量的原子。如示意图1所示,在费什巴赫共振附近,当原子的相对动能达到阈值能量时,它们可以形成准束缚态分子;这种准束缚态分子与其它自由原子的进一步碰撞可以释放大量能量,使碰撞的原子逃离势阱。当损失的原子动能超过平均动能时,系统的温度将会降低。当准束缚态分子的阈值能量接近原子的平均总能量3kBT时(其中T是原子气体的温度,kB是波尔兹曼常数),冷却效应开始显著。在实验实施上,这种方法不需要改变势阱的势能,但需要精确调节磁场以精确控制原子之间的相互作用。
图1:s-波窄费什巴赫共振附近三体复合示意图。为准束缚分子态。通过三体复合反应,准束缚态分子可向深束缚态跃迁从而释放巨大能量,使其逃离势阱。
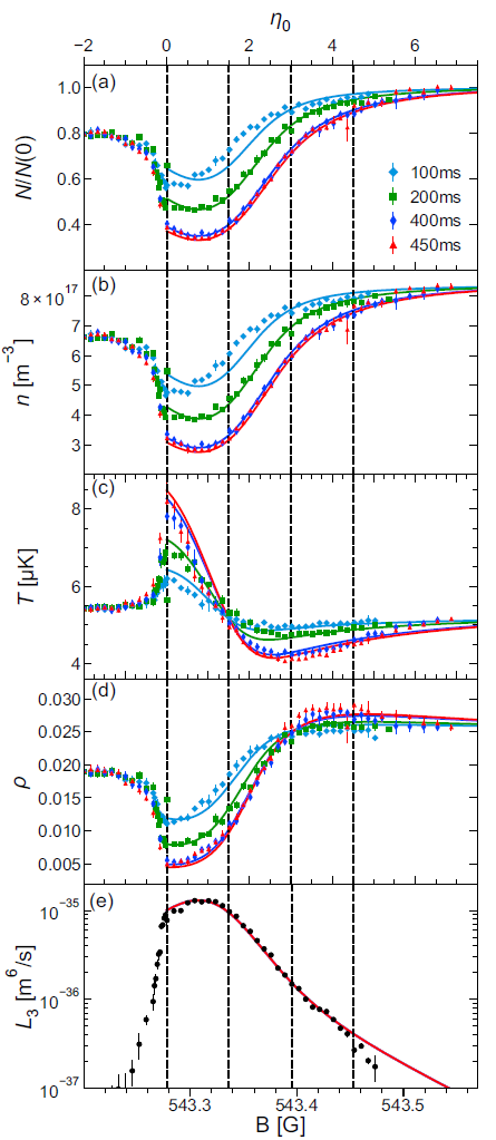
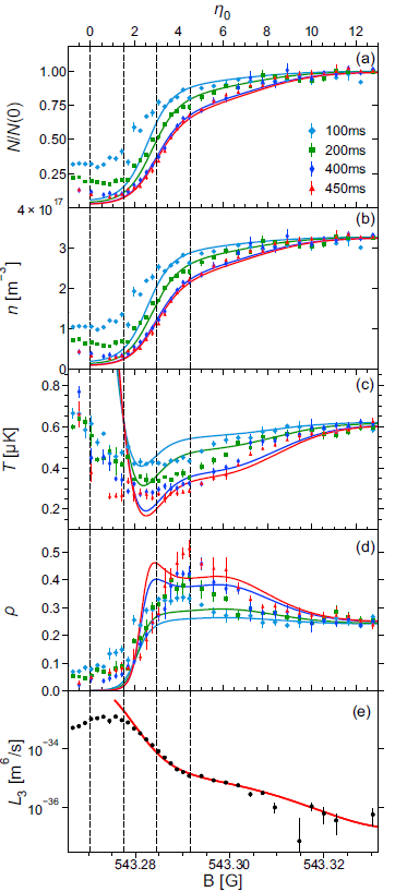
图2分别展示了两个具有不同初始温度气体的碰撞冷却结果。通过调节磁场强度,可以改变三体复合的速率和阈值能量。当阈值能量低于3/2时,原子反而会被加热;而当阈值能量高于3/2时,原子温度会逐渐被降低;而当阈值能量进一步增加超过3时,气体的相空间密度也会被增加。此外,通过不同温度的冷却曲线比较发现温度越低冷却效率越高。这对于实现高简并度的费米气体来说意义重大。
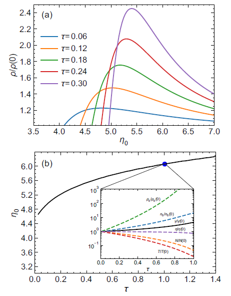
在理论方面,该成果基于玻尔兹曼方程,推导出一个理论模型,精确地描述了三体复合过程中的原子丢失和温度下降。为了最大化冷却效率,系统磁场需按特定曲线逐步逼近共振,这被视作一个最优路径问题。图3揭示了不同冷却时间下的最优冷却路径,通过调整磁场的时间变化,可显著提升相空间密度。此外,理论结果表明,为达到最佳冷却效率,系统需从特定的初始条件出发。研究进一步提出,在某些条件下,非弹性碰撞导致的原子损失也可以作为一种有效的冷却手段,这极大地丰富了原子冷却的研究领域,并为存在丰富费什巴赫共振的混合原子与混合分子系统的冷却提供了新的思路。


图2:初始温度为5.1uK(左图)和0.6uK(右图)气体的原子数(a),原子数密度(b),温度(c),相空间密度(d)以及三体复合率(e)在s波窄费什巴赫共振附近的实验结果。在附近温度的冷却效率最高。
图3:三体复合碰撞冷却的最优化路径,包括 相空间密度、初始阈值能量、冷却时间、 原子数密度、非弹性碰撞率以及 温度含时变化曲线。
该成果以“Collisional cooling of a Fermi gas with three-body recombination” 为题于3月20日在国际知名期刊《Communications Physics》上发表,ok138cn太阳集团2023级博士生彭帅为第一作者,李佳明副教授和罗乐教授为共同通讯作者。上述工作得到了国家自然科学基金、广东省重点领域研发计划项目以及广东省自然科学基金等项目的支持。
论文链接:
https://doi.org/10.1038/s42005-024-01539-3
李佳明副教授简介:
/zh-hans/teacher/147
罗乐教授简介:
https://dpcms4.sysu.edu.cn/sysuspa-prod/zh-hans/teacher/112
